与传统合金相比,高熵合金不仅具有良好的结构稳定性以及优异的力学性能,还表现出卓越的电性能以及催化性能,有望应用于能源、环境领域。将高熵这一概念引入热电材料有望实现热能与电能转化效率的大幅提升。
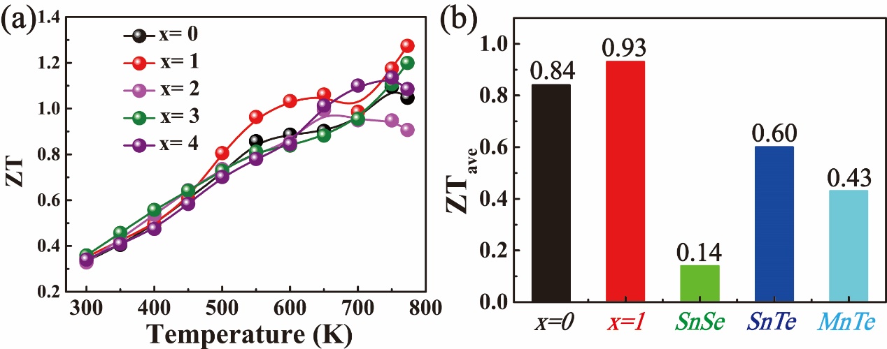
最近,半导体材料与器件研究中心杨君友教授组通过高温熔炼制备了高熵半导体AgMnGeSbTe4,并研究了其热电性能。AgMnGeSbTe4是一种带隙约0.30 eV的p型半导体,该材料具有岩盐NaCl结构,其中,阳离子Ag、Mn、Ge和Sb共同占据NaCl中Na格点位置。由于Ag、Mn、Ge和Sb的原子半径相差较大,从而导致材料的晶体结构产生强烈的畸变,有效降低了声子输运。材料的室温平均声速为2019 m/s,晶格热导率为0.54 Wm-1K-1。电性能测试表明AgMnGeSbTe4呈现简并半导体特性,在300-600 K范围内,其电导率由259 S/cm逐渐降低至180 S/cm,Seebeck系数由174 μV/K升高至232 μV/K。高的功率因子和低的热导率使AgMnGeSbTe4具有优异的热电性能,其最高ZT值在773 K达1.05,在400-773 K温度范围内的平均ZT值为0.84。在此基础上,通过调节Ag8GeTe6第二相的含量增强了中长波声子散射,进一步优化了AgMnGeSbTe4的热电性能。其中,AgMnGeSbTe4-1mol% Ag8GeTe6材料的最高ZT值为1.27(773 K),平均ZT值为0.92 (400-773 K)。研究表明,高熵半导体是一种很有前途的热电材料,值得更多的关注和研究。

图1 AgMnGeSbTe4-x mol% Ag8GeTe6的声子散射示意图

图2 AgMnGeSbTe4-x mol% Ag8GeTe6的ZT值
相关工作发表在Advanced Functional Materials上。该研究得到了国家自然科学基金(52002137, 51572098, 51632006, 51772109,51872102 , 51802070)、中央高校基本科研基金(2021XXJS008, 2018KFYXKJC002)、武汉理工大学材料合成与加工先进技术国家重点实验室开放基金(2016-KF-5)和华中科技大学研究生创新基金(2020yjsCXCY022)资助。论文第一作者是澳彩
马征博士,通讯作者是杨君友教授。
论文原文:
High entropy semiconductor AgMnGeSbTe4 with desirable thermoelectric performance
Zheng Ma, Tian Xu, Wang Li, Yiming Cheng, Jinmeng Li, Dan Zhang, Qinghui Jiang, Yubo Luo* and Junyou Yang*
文章链接://onlinelibrary.wiley.com/doi/10.1002/adfm.202103197